Меню
Сведения об образовательной организации
Сведения об образовательной организации
Назад
Сведения об образовательной организации
Основные сведения
Структура и органы управления образовательной организацией
Документы
Образование
Образование
Назад
Образование
2025 год обьявлен
Инклюзивная деятельность
Инновационная деятельность ДОУ
Нормы ГТО
ФОП ДО
Наставничество
Мы Гагаринцы
Логопедическая помощь
Музей "Я помню,я горжусь....."
Музей "Я помню,я горжусь....."
Назад
Музей "Я помню,я горжусь....."
Музейные экспозиции
Музей "Моя малая Родина"
Образовательные стандарты и требования
Образовательные стандарты и требования
Назад
Образовательные стандарты и требования
Профессиональный стандарт
Руководство
Педагогический состав
Материально-техническое обеспечение и оснащённость образовательного процесса. Доступная среда
Стипендии и меры поддержки обучающихся
Платные образовательные услуги
Финансово-хозяйственная деятельность
Вакантные места для приёма (перевода) обучающихся
Международное сотрудничество
Организация питания в образовательной организации
Министерство науки и высшего образования Российской Федерации
Министерство просвещения Российской Федерации
Законодательная карта
ВСОКО
Безопасность.Охрана труда.
Дистанционная работа
Международное сотрудничество
НОКУ
Профилактика вирусных заболеваний
Обращения
Обращения
Назад
Обращения
Личный прием
Электронные обращения
Письменное обращение
Порядок обжалования
Проверить статус обращения
Ответы на обращения, затрагивающие интересы неопределенного круга лиц
Противодействие коррупции
Информационная безопасность
Информационная безопасность
Назад
Информационная безопасность
Локальные нормативные акты в сфере обеспечения информационной безопасности обучающихся
Нормативное регулирование
Педагогическим работникам
Обучающимся
Родителям (законным представителям обучающихся)
Детские безопасные сайты
Антитеррористическая защищенность
Антитеррористическая защищенность
Назад
Антитеррористическая защищенность
Если Вы оказались в заложниках
Документы по профилактике терроризма и экстремизма
Памятки по профилактике терроризма и экстремизма
Положения, постановления
Комплексная безопасность
Комплексная безопасность
Назад
Комплексная безопасность
Пожарная безопасность
Охрана труда
Дорожная безопасность
ГО и ЧС
Работа с персональными данными
НОКО. Независимая оценка качества образования
МДОАУ детский сад с.Загородный муниципального района Стерлитамакский район Республики Башкортостан
8(3473)26-73-32
zagorod2010@mail.ru
Версия для слабовидящих
Войти
Меню
Главная
О нас
О нас
Назад
О нас
История детского сада
Благодарности
Места занятий
Дипломы и награды
Отзывы
Отзывы
Назад
Отзывы
Добавить отзыв
Вакансии
Вакансии
Назад
Вакансии
Заполнить анкету
Вопрос-ответ
Вопрос-ответ
Назад
Вопрос-ответ
Задать вопрос
Доска почёта
Партнёры
Наша жизнь
Наша жизнь
Назад
Наша жизнь
Расписание
Кружки и секции
Новости
Объявления
Фотогалерея
Видеогалерея
Мероприятия
Полезные статьи
Презентации
Родителям
Родителям
Назад
Родителям
Приём в детский сад
Группы
Расписание
Платные образовательные услуги
Платные образовательные услуги
Назад
Платные образовательные услуги
Порядок оказания платных образовательных услуг
Цены на платные услуги
Перечень платных услуг
Вопрос-ответ
Полезные ссылки
Новости
Объявления
Дистанационный детский сад
Дорожная безопасность
Информация о зачислении детей
Консультационный центр
Список льгот для зачисления в дошкольные образовательные учреждения
Правила внутреннего распорядка
Педагогам
Педагогам
Назад
Педагогам
Аттестации
Расписание
Новости
Объявления
Правила внутреннего трудового распорядка
Методические материалы
Методические материалы
Назад
Методические материалы
Диагностика
Питание
Питание
Назад
Питание
Организация питания
Меню
Нормативные документы
Бесплатное питание для льготных категорий граждан
Бесплатное питание для льготных категорий граждан
Назад
Бесплатное питание для льготных категорий граждан
Условия питания обучающихся, в том числе инвалидов и лиц с ограниченными возможностями здоровья
Стоимость питания
Поставщики
Кормите ребенка правильно
Программа "Разговор о здоровье и правильном питании"
Сведения по оператору питания
Телефоны горячей линии по питанию
Контакты
Контакты
Назад
Контакты
Контакты контролирующих организаций
Реквизиты организации
Телефонный справочник
Дистанционная работа
Программа просвещения родителей
Программа просвещения родителей
Назад
Программа просвещения родителей
Родительство как особый феномен в жизни человека
Просвещение родителей по вопросам здоровья, воспитания и развития детей младенческого, раннего и дошкольного возрастов
Права родителей и государственная поддержка семей с детьми дошкольного возраста
Законодательство в сфере образования
Поддержка и просвещение родителей, воспитывающих ребенка с ограниченными возможностями здоровья, в том числе детей-инвалидов
Особенности, формы и методы просвещения родителей (законных представителей) в дошкольной образовательной организации
Логопедическая помощь
Питание
Меню
Меню
24.11.2021
Завтрак
(Завтрак)
15:41
Ужин
(Ужин)
15:41
Меню
(Меню на 24.11.2021 года(с 1,5 до 3 лет))
15:41
Меню
(Меню на 24.11.2021 года (от 3 до 7 лет))
15:41
23.11.2021
Завтрак
(Завтрак)
00:00
Обед
(Обед)
00:00
Полдник
(Полдник)
00:00
Ужин
(Ужин)
00:00
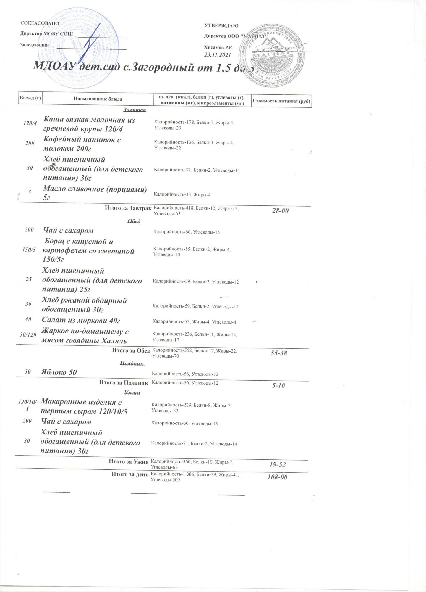
Меню
(Меню на 23.11.2021 года (от 1,5 до 3 лет))
00:00
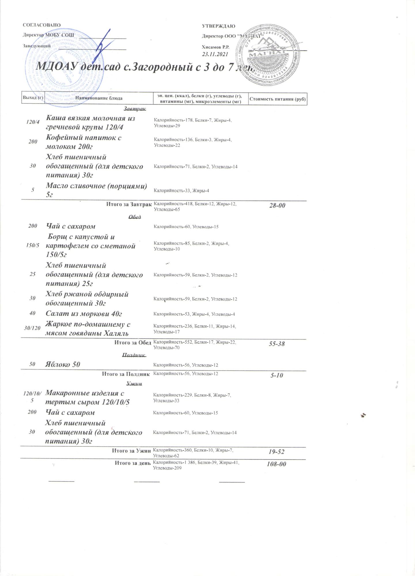
Меню
(Меню на 23.11.2021 года (от 3 до 7 лет))
00:00
Назад
1
...
420
421
422
423
424
...
436
Вперед